New products: Acylated Fumonisins

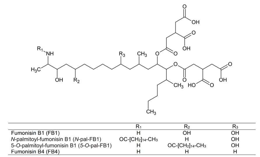
We managed to roll out two brand new acylated mycotoxin products, which are acylated fumonisins: N-palmitoyl-FB1 and 5-O-palmitoyl-FB1 standards. We are happy as this required several years of research and preparation.

Acylated fuminisin B1s: N-pal-FB1 and 5-O-pal-FB1
Acylated fuminisin B1s: N-pal-FB1 and 5-O-pal-FB1

These acylated mycotoxins are not yet regulated by WHO and EFSA, however research is suggested in this field as based on results, N-palmitoyl-FB1 and 5-O-palmitoyl-FB1 have higher toxicity than Fumonisin B1 based on human serum albumin and zebrafish embrios.

Both have over 99% purity by HPLC-ESI-MS in full scan mode.

Product information:

New Products: T2 Toxin and HT2 Toxin

T2 toxin

T2 with purity of 99.2% with qNMR and HT2 with 98.7% with qNMR!

We are happy to announce that after a year of research and preparation, we managed to roll out two brand new mycotoxin products, that are not a fumonisin: purified T2 Toxin and HT2 Toxin.

As usual we managed to achieve high purity, but this time (as well as with DON) managed to exceed our already high standards:

  • T2 Toxin: 100% by HPLC-ESI/MS and 99.2% with qNMR.
  • HT2 Toxin: 100% by HPLC-ESI/MS and 98.7% with qNMR.

This also means that most probably these are the purest T2 and HT2 mycotoxin samples on the global market.

To check the the details please see the dedicated T2 page and dedicated HT2 page.

New qNMR analysis for FB2

Molecular structure of FB2

We are thrilled to share that our latest lot of FB2 has just passed qNMR measurement and obtained 98.6% purity as result. This outstanding value means we have been able to improve our previous lot with 97.4% purity considerably.
Probably this is the purest solid FB2 standard in the world.

See our FB2 page.

New product: Deoxynivalenol (DON)

Deoxynivalenol (DON) toxin

DON with purity of 99.64% with qNMR!

We are happy to announce that after a year of research and preparation, we managed to roll out a brand new mycotoxin product, that is not a fumonisin: purified Deoxynivalenol. As usual we managed to achieve high purity, but this time managed to exceed our already high standards: 100% by HPLC-ESI/MS and 99.64% with qNMR.
This also means that most probably this is the purest DON mycotoxin sample on the global market.

To check the the details please see the dedicated DON page.